• 低端影视概况
    低端影视简介
    机构设置
    环能文化
  • 师资队伍
    人才计划
    教师信息
    校外导师
  • 教育教学
    本科生教育
    研究生教育
  • 科学研究
    学科简介
    科研基地
    科研成果
  • 招生就业
    招生
    就业
  • 党群工作
    工会动态
    团学动态
  • 校友风采
  • 下载专区
    学生专区
    教师专区
  • 低端影视概况
    低端影视简介
    机构设置
    环能文化
  • 师资队伍
    人才计划
    教师信息
    校外导师
  • 教育教学
    本科生教育
    研究生教育
  • 科学研究
    学科简介
    科研基地
    科研成果
  • 招生就业
    招生
    就业
  • 党群工作
    工会动态
    团学动态
  • 校友风采
  • 下载专区
    学生专区
    教师专区
中文
位置: 低端影视 > 低端影视公告

低端影视公告

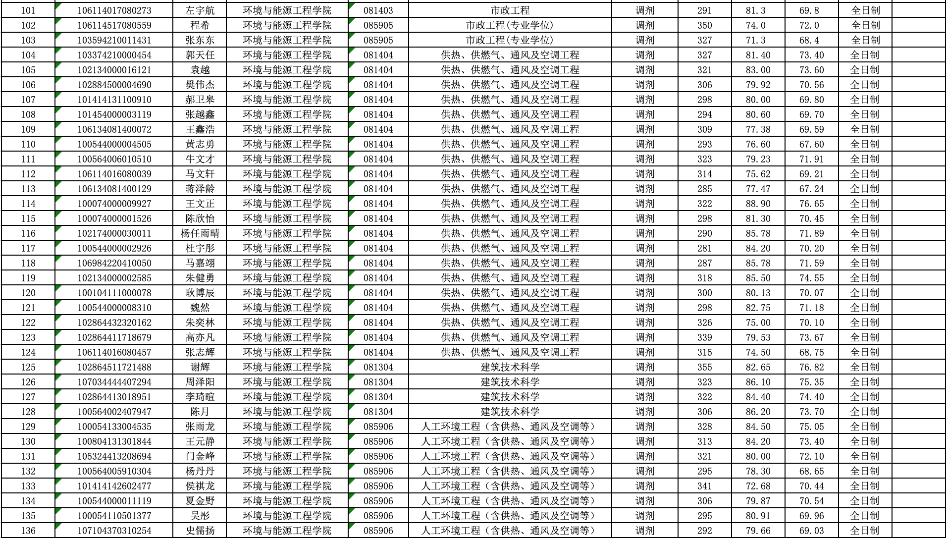
低端影视 2024年硕士研究生拟录取名单

发布日期:2024-04-27




  • 人民网-党的二十大专题网站
  • 教育部
  • 北京市教委高等教育处
  • 全国大学生节能减排与科技竞赛
  • 学习强国
  • 学校新闻网
地址:北京市大兴区黄村镇永源路15号 102616      低端影视-低端影视官网 版权所有